
Hoping that your child grow up healthily is understandably one of the most important things a parent could wish for. However, each child’s physique is different and as such some children may be underweight even though they could be eating a lot. So why is that the case?

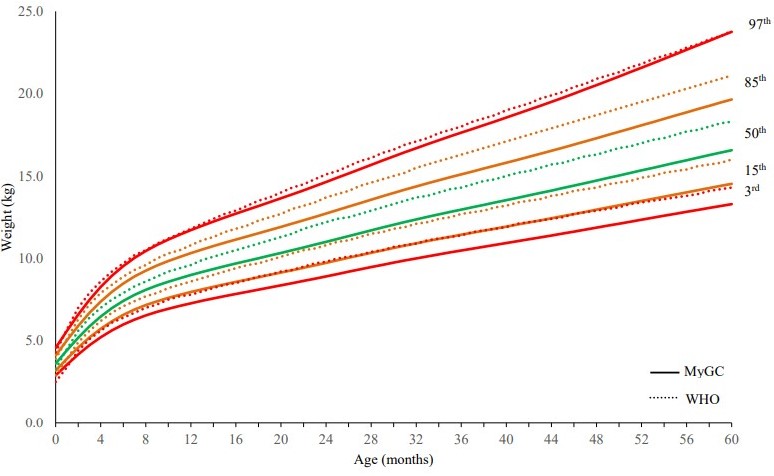
Diagram 1: Comparison of Malaysia Standard Growth Chart (MyGs) and World Health Organization (WHO) for children (boys).
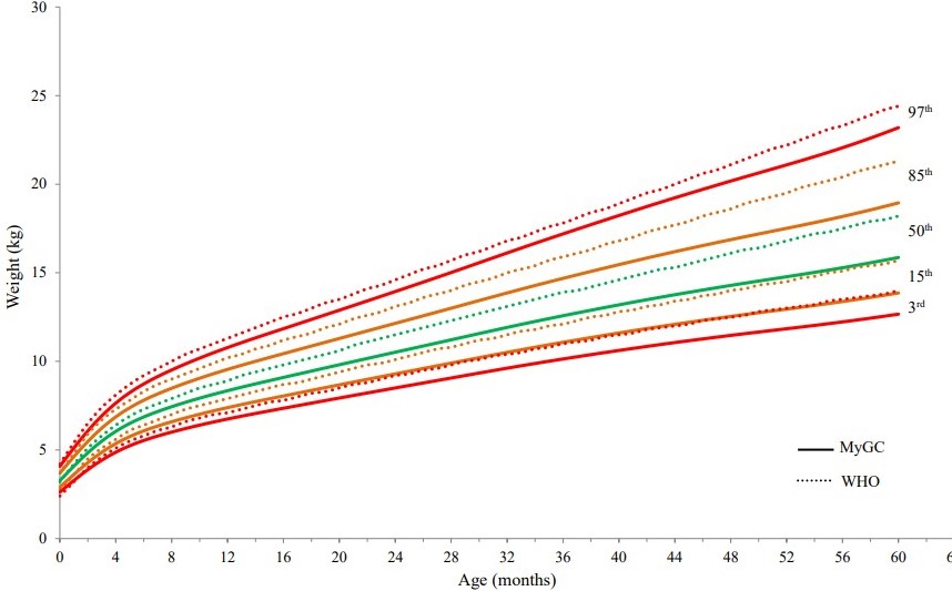
Diagram 2: Comparison of Malaysia Standard Growth Chart (MyGs) and World Health Organization (WHO) for children (girls).
While being underweight is certainly a concern for children, your child’s low weight only become a concern if they fall below 25% of the Standard Growth Chart provided by Ministry of Health Malaysia (MoH) [1] [2]. A healthy boy at the age of 1 should weight around 7 to 8 kg as according to Malaysia growth chart (MyGC) [2]. One thing to note is that some child will inheritably appear thinner than their peers but as long as he is physically active and his BMI still falls within the optimal range then he is fine.
There are many underlying factors for a child to be underweight and finding out the exact reason is the key to solving this problem. To accurately pin point the cause, it is strongly recommended for you to seek medical consultation from a child specialist as underweight can be due to medical conditions such as infections, allergies, intestinal, hormone or heart problems [2]. However, if your pediatrician has determined that the cause is related to food intake, there are a few tips that can increase your child’s weight.
Increase Calories With Healthy Foods

Increasing your child’s calorie intake per day is a good way to increase weight. Calories, in essence, is the energy generated when you ingested food, hence a certain food high in calorie means that it is able to produce a lot of energy for your daily use. If your child consumes more calorie than he used, these unused energies will be changed to fat and stored in their body, which in turn result in weight gain.
High calorie food are often food high in fat and carbohydrate such as fried food, sweets and sugary drinks. Although these foods are often children’s favorites, they are considered unhealthy foods as they may result in health issues such as cavities, higher risk of obesity, diabetes and high blood pressure in later stage.
According to the Malaysian Dietary Guidelines for Children and Adolescents from MoH, children should get their fat and carbohydrate intake from healthier sources such as avocado and full-fat yogurt [3]. While children age of 1 only requires 1 teaspoon of added oils, parents may increase the fat content for underweight children provided that the fat source is healthy. As for carbohydrate, stick to healthy grains such as brown rice and bread as these carbohydrates are also rich in other important nutrition such as fiber and vitamins.
Avoid Foods That Lower Appetite

Image Credit: MDLinx
Junk food such as fast food, carbonated drinks, sugary drinks and sweets not only makes you gain weight, it may also suppress your child’s appetite, a study from Australia indicates [4]. This is especially bad for them as junk food is high in trans fat which is possibly the worse kind of fat that is highly associated with higher risk of obesity and cancer. Hence it is crucial to avoid giving your child any junk food especially before his meal time.
Choose The Right Formula Milk
.jpg)
Image Credit: Ingredients Network
Another healthy way to increase weight gain is to choose the right children formula milk for your child. Although there are indeed special formula for children who are underweight, it is important for parents to be aware of the downside of such formula as formula milk that is specifically for weight gain often contains high sugar as sugar is one of a common source of calorie in milk. Hence, if parents are to choose these formula milk, they should be extra cautious of the type of sugar in the milk.
How Karihome Help With Healthy Weight Gain

Image Credit: Mental Floss.com
Although Karihome is not a special formula for weight gain, goat milk by nature does have an advantage for helping with weight gain. This is because goat milk is rich in medium chain fatty acids or medium chain triglycerides (MCT) which can provide energy much more efficiently than other animal fat. The size of goat milk fats is only 1/3 of cow milk fats, as such goat milk fat is easier to be digested and absorbed by human’s body.

Diagram 2: Comparison of estimated time used to digest goat milk and cow milk fat.
While other special milk formula for weight gain also contains medium chain fatty acids or MCT, the MCT present in Karihome goat milk is unique as it is completely natural. This is important as natural nutrition is always better than added nutrition as it is easier to be digested than non-natural nutrition.
Aside from that, Karihome can is also support healthy growth. Goat milk is rich in natural calcium which is the most important nutrient for healthy bone growth. While increasing your child’s daily calcium intake will not necessarily guarantee your child is get taller but it certainly can ensure that your child reaches his fully potential of growth as lack of calcium can retards growth [5].
Clinically Proven To Support Weight Gain
It is worthy to note that Karihome is the only goat milk formula in Malaysia that is scientifically proven to support growth for children. There are 2 clinical studies that has been conducted using Karihome Goat Milk Formula in which the results shows a steady weight gain [7] [8]. It is formulated with 13 vitamins and 12 minerals in which by consuming 3 cups of Karihome Step 3 Growing up Formula it can meet the Malaysia recommended nutrient intake for children above the age of 1.
Interested to try Karihome Step 3? Request for our starter kit now at: https://bit.ly/3bixlyO
Reference
[1] http://www.myhealth.gov.my/en/growth-monitoring/ &
[2] https://www.parenting.com/toddler/on-call-underweight-child/
[3] http://nutrition.moh.gov.my/wp-content/uploads/penerbitan/buku/MDG_Children_adolescent_2014.pdf
[5] https://www.newtimes.co.rw/section/read/99298
[7] Grant C et al (2005). Randomized, double-blind comparison of growth in infants receiving goat milk infant formula versus cow milk infant formula. Journal of Paediatrics and Child Health, 41:564-568.
[8] Vivatvakin B, Phavichitr N, Intrarakao S, Prosser C, Lowry D (2008). The effect of goat milk formula on weight gain and wellness of Thai infants with poor weight gain. Poster presented to World Congress of Pediatric Gastroenterology, Hepatology and Nutrition, Brazil 16-20 August 2008.